中大新聞網訊(通訊員趙現廷、鄭敏珊)2023年1月12日,中山大學腫瘤防治中心丁培榮、張曉實、潘志忠教授領銜的多中心團隊在美國國立綜合癌癥網絡(NCCN)官方雜志Journal of the National Comprehensive Cancer Network 在線發表了題為“新輔助免疫治療為局限性錯配修復蛋白缺陷或微衛星高度不穩定(dMMR/MSI-H)結直腸癌帶來顯著療效和低復發率”的文章,在國際上首次報道了局部晚期結直腸癌新輔助免疫治療的長期療效。
研究發現,錯配修復蛋白缺陷或微衛星高度不穩定局部晚期結直腸癌通過PD-1抗體免疫治療后,不僅能否獲得顯著的近期療效(60%的病理完全緩解),而且也顯著提高了遠期生存,同時更好地保全了器官功能,近1/4患者達到腫瘤完全緩解而避免手術。這是迄今為止國際上關于結直腸癌新輔助免疫治療領域樣本量最大的研究,也是該領域第一項新輔助免疫治療長期療效的報道。
該研究得到了雜志主編和國際同行的廣泛認可,被選為期刊的主題文章(Subject of the issue),雜志對主要研究者丁培榮教授進行了專訪。MDlinx.com, healthcare-in-europe.com, linkedin.com等十余家國外媒體也同步跟進報道。
NCCN結腸、直腸和肛管癌指南專家組成員、威斯康辛大學卡本癌癥中心Dustin A. Deming教授評論,這項研究強調了微衛星高度不穩定結直腸癌接受免疫檢查點抑制劑治療可能獲得顯著的治療反應,而且毒性有限。如何利用這些結果以及其他已完成和正在進行的研究,將抗PD-1治療納入局部晚期結直腸癌的標準治療,是一件令人振奮的事情。
錯配修復蛋白缺陷或微衛星高度不穩定結直腸癌是一種特殊類型的腸癌,約占總體的10-15%。目前在這一類型的晚期腸癌中,PD-1抗體已成為標準一線治療藥物。但對于局限期腫瘤,因其具有膨脹性生長的特性,臨床上常表現為腫瘤巨大和侵犯周圍臟器等特點。能否通過新輔助治療縮小腫瘤、提高R0切除率以改善生存,一直是臨床熱切關注的問題。
國際上有小樣本研究探索新輔助PD-1抗體治療在這類腸癌中的短期療效,結果顯示有效率高達90%以上,超過60%達到病理完全緩解。但這些研究病例較少,且缺乏長期隨訪數據。新輔助免疫治療的長期生存和安全性問題仍有待更大樣本研究和長期隨訪結果的支持。
研究團隊在前期結直腸癌免疫治療研究基礎上,聯合云南省腫瘤醫院李云峰教授及張旋博士、中山大學附屬第六醫院肖健及曹泰源教授,共同開展了以PD-1抗體免疫治療作為錯配修復蛋白缺陷或微衛星高度不穩定非轉移性結直腸癌新輔助治療手段的多中心真實世界隊列研究。
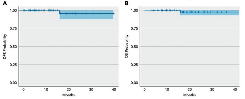
研究納入了來自國內三家中心73名接受PD-1抗體新輔助免疫治療的結直腸癌患者。結果顯示,84.9%的患者獲得客觀緩解,其中23.3%為臨床完全緩解采取觀察等待策略。即便對于局部分期較晚的患者,客觀緩解率也達到了84%。在接受手術的患者中,有近60%的患者獲得病理完全緩解。平均隨訪了17.2個月后,中位無病生存期(DFS)和中位總生存期(OS)均未達到。在接受手術和達到完全緩解的患者中,2年腫瘤特異性無病生存率和總生存率均為100%。

新輔助PD-1抗體治療的治療療效

接受腫瘤切除手術或達到CR的患者的DFS和OS
該研究與2022年9月ESMO報道的NICHE-2初步研究結果基本一致,均顯示PD-1抗體對于非轉移性錯配修復蛋白缺陷或微衛星高度不穩定結直腸癌的顯著療效。但與NICHE-2研究不同的是,本研究中80%的患者僅僅使用PD-1抗體單藥,而沒有聯合抗CTLA-4抗體,提示對于這類患者,PD-1抗體單藥治療或已足夠達到理想療效。不僅如此,這項研究首次報道了新輔助免疫治療的長期生存數據。
研究結果顯示,新輔助免疫治療后,接受腫瘤切除的患者以及達到影像學完全緩解而接受觀察的患者中,均未出現復發轉移。而在以傳統化療藥物作為新輔助方案的FOXTROT研究中,局部晚期錯配修復蛋白缺陷或微衛星高度不穩定結直腸癌無論直接手術或接受新輔助化療,術后復發轉移率均達15%。因此,新輔助免疫治療不僅可以降低腫瘤分期,而且可以降低復發轉移率,改善長期生存。
中山大學腫瘤防治中心丁培榮教授是論文通訊作者,結直腸科潘志忠教授、生物治療中心張曉實教授等是共同通訊作者,結直腸科肖斌毅博士是第一作者。
論文鏈接:https://jnccn.org/view/journals/jnccn/21/1/article-p60.xml