中大新聞網訊(通訊員趙現廷)近日,中山大學腫瘤防治中心婦科劉繼紅教授團隊,聯合南方醫科大學、華中科技大學同濟醫學院附屬同濟醫院、浙江大學醫學院附屬婦產科醫院的合作者團隊,在《柳葉刀·數字健康》(The Lancet Digital Health)發表了題為《使用實驗室檢驗的人工智能模型準確診斷卵巢癌:一項中國的多中心、回顧性隊列研究》的研究成果。
針對卵巢癌目前早期診斷困難、缺乏有效腫瘤標志物的困境,研究團隊基于常規體檢中的實驗室檢驗構建了卵巢癌診斷人工智能融合模型,為卵巢癌提供了一種低成本、易獲取,且高準確率的輔助診斷工具,有望助力卵巢癌的精準防控及早期診斷。

模型示意圖
卵巢癌早診困難,研究團隊讓“小檢驗”發揮“大作用”
卵巢癌是致死率最高的婦科惡性腫瘤,其5年生存率僅為40%。卵巢癌發病隱匿,無特異性的癥狀體征,超過一半的患者發現已是晚期,這是卵巢癌預后差的重要原因。
目前,臨床上運用的主要卵巢癌標志物為糖類抗原125(CA125)和人附睪蛋白4(HE4),研究已證實其敏感性和特異性有限。總的來說,當前缺乏標志物實現卵巢癌的早期診斷,亟需發展新的卵巢癌診斷標志物協助卵巢癌診斷走出困境。
常規實驗室檢驗(包括血常規、生化檢查、凝血檢查、尿液檢查等)是臨床和體檢中最常用的檢查項目。既往研究已證明,部分常見檢驗項目,如血液中的白蛋白濃度、血小板計數、中性粒細胞計數等,與卵巢癌的診斷和預后顯著相關,提示這些常規檢驗指標具有成為卵巢癌標志物的潛力。
這些標準化的實驗室檢驗方法,檢驗成本低,已廣泛運用于常規體檢和各級醫療機構中。若能以這些檢驗指標作為標志物,對提高體檢機構和基層醫療機構的卵巢癌診斷水平,改善疾病二級預防現狀,進而改善卵巢癌患者的預后具有重要意義。
創新構建卵巢癌預測模型,精準鎖定風險人群
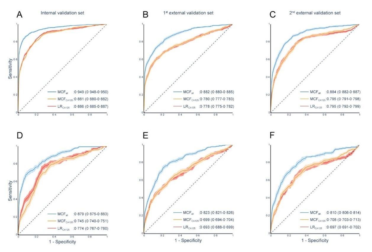
研究者共收集了中山大學腫瘤防治中心、華中科技大學同濟醫學院附屬同濟醫院、浙江大學醫學院附屬婦產科醫院超過1萬例女性的98項實驗室檢查結果,并基于團隊自主研發的創新人工智能融合框架——MCDM框架,融合20個人工智能基分類模型,構建了卵巢癌預測模型——MCF模型。該模型最終納入51項實驗室檢驗指標和年齡,其在內部驗證集和兩個獨立的外部驗證集上的AUC分別達0.949(95%CI 0.948-0.950)、0.882(0.880-0.885)和0.884(0.882-0.887)。
研究結果顯示,MCF模型識別卵巢癌患者、特別是早期卵巢癌患者的AUC和靈敏度顯著高于傳統卵巢癌標志物CA125、HE4及兩者聯合,且在部分指標缺失的人群中依然可以對卵巢癌的風險進行較準確的預測,提示MCF模型具有較好的穩定性,并對真實世界數據具有較好的兼容性。

模型對比CA125對卵巢癌(圖A-C)、早期卵巢癌(D-F)的診斷效能
該研究為卵巢癌提供了一種低成本、易獲取,且準確的人工智能輔助診斷工具——MCF模型。由于模型使用的所有特征均為常規實驗室項目,故在體檢機構或對婦科腫瘤經驗有限的基層醫療機構中,該模型可為卵巢癌的診斷提供寶貴且高效的決策幫助。
本研究構建的MCF模型已封裝為開源的卵巢癌預測工具,輸入相應實驗室檢驗數據和年齡即可計算患卵巢癌的風險值。此外,本研究還發現,除腫瘤標志物外,其他常規實驗室檢驗,如D-D二聚體、血小板計數等,也對卵巢癌診斷預測有較大貢獻,提示這些檢驗指標相關病理生理過程可能在卵巢癌的發展過程中發揮了重要作用,其潛在機制值得進一步探討。
中山大學腫瘤防治中心蔡光瑤博士、南方醫科大學博士研究生黃方俊、華中科技大學同濟醫學院附屬同濟醫院高越博士、浙江大學醫學院附屬婦產科醫院李曉教授為本文共同第一作者;中山大學腫瘤防治中心劉繼紅教授、南方醫科大學甄鑫教授、華中科技大學同濟醫學院附屬同濟醫院高慶蕾教授為共同通訊作者。
論文鏈接:https://www.thelancet.com/journals/landig/article/PIIS2589-7500(23)00245-5/fulltext