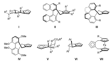
開發新的手性配體和催化劑是不對稱催化領域永恒的課題。眾所周知,手性環戊二烯 (Cp) 配體在過渡金屬催化的不對稱碳氫鍵活化反應研究中占據著重要地位。如圖1所示,經科學家的不懈努力,目前已成功開發出幾類手性Cp配體。然而,隨著不對稱碳氫活化反應研究的蓬勃發展,顯然這有限的幾種Cp配體很難滿足科學家們豐富的科研需求。

圖1 應用于不對稱碳氫活化的幾種手性Cp配體
我校化學學院汪君教授自獨立開展研究工作以來,一直致力于不對稱惰性碳氫鍵活化反應研究。近年來,利用手性聯萘Cp配體II和手性螺環配體III實現了一系列不對稱碳氫鍵活化反應(Angew. Chem. Int. Ed. 2019, 58, 6732;Angew. Chem. Int. Ed. 2018, 57, 4048;Org. Lett. 2020, 22, 3586;Org. Lett. 2020, 22, 3219)。另外,他們報道了一種基于手性二茂鐵骨架的Cp配體VII,并將其應用于催化不對稱C?H 鍵活化反應中(Chem.—Eur. J. 2020, doi: 10.1002/chem.202001814)。基于以上研究工作基礎,近日,汪君課題組發布了一類手性[2.2.2]橋環環戊二烯銠(CpRh)催化劑,并將其成功應用于不對稱碳氫活化反應,以高對映選擇性合成了多種手性氫化菲啶酮類化合物 (圖2-3)。該成果是首例將手性橋環CpRh絡合物應用于不對稱碳氫活化反應的報道,同時也為不對稱碳氫活化提供了新的催化劑選擇。
手性[2.2.2]橋環Cp配體最早由Halterman和Vollhardt于1987年報道,但遺憾的是,該類Cp配體一直都沒有引起人們的關注,其在不對稱催化反應中的應用也基本是一片空白。近日,汪君課題組通過參考并優化Halterman的合成方法,從1,4二烷基取代苯出發,經過5步合成了三種光學純的手性Cp配體,并成功制備了相應的手性CpRh(I) 絡合物 (圖2)。其中,環己基取代的絡合物 Rh-1的結構通過單晶X-射線衍射得到確認。有趣的是,當與手性聯萘CpRh和螺環CpRh絡合物的單晶結構進行對比時,發現橋環CpRh的 “side wall”——環己基在豎直方向更加伸展,而在水平方向較為緊湊。另外,單晶數據還表明該催化劑的“side wall”更靠近中心金屬。催化劑的這些結構特點預示著其可能具有獨特的催化性能。

圖2手性橋環CpRh(I)絡合物的合成及其單晶結構
之前汪君課題組曾發表過一例手性螺環CpRh催化的N-甲氧基苯甲酰胺與醌的不對稱C?H鍵活化反應。盡管他們對該反應開展了細致的條件優化,但終未能獲得理想的對映選擇性,對于標準反應只得到85?,而對于其它大多數底物也只能獲得小于90?(Org. Lett. 2020, 22, 3219)。可喜的是,當使用手性橋環CpRh催化劑Rh-1時,可以得到優異的對映選擇性(圖3),體現出該類橋環Cp催化劑在不對稱碳氫鍵活化中具有較大的應用潛力。

圖3手性橋環CpRh催化劑在不對稱碳氫鍵活化中的應用
該成果近期發表在化學Top期刊Angewandte Chemie International Edition。論文第一作者是中山大學化學學院2016級博士生李國柱,通訊作者為中山大學化學學院汪君教授。該研究得到了國家自然科學基金的支持。論文完整信息為:Guozhu Li (李國柱),Xiaoqiang Yan (閆曉強),Jijun Jiang (江繼軍),Hao Liang (梁昊),Chao Zhou (周超),Jun Wang (汪君)*,Chiral Bicyclo[2.2.2]octane-Fused CpRh Complexes: Synthesis and Potential Use in Asymmetric C?H Activation, Angew. Chem. Int. Ed. 2020, doi: 10.1002/anie.202010489。
論文鏈接:https://onlinelibrary.wiley.com/doi/10.1002/anie.202010489