生物多樣性是人類社會賴以生存和持續發展的基礎,是生態文明建設和民族永續發展的保障。但是,由于人類活動所引起的環境污染、氣候變化和生境破碎化,已經導致全球范圍生物多樣性的極大喪失。物種多樣性的形成和維持機制是本世紀亟待解決的25個重大科學問題之一,針對該問題的的研究是生物多樣性保護和利用的基石。
近日,我校生命科學學院余世孝教授課題組在國際知名學術期刊Nature Communications上發表了題為“Soil fungal networks maintain local dominance of ectomycorrhizal trees”的研究論文,揭示了由菌根菌絲網絡組成的地下高速通路如何連接母樹和幼苗并改變幼苗更新動態,進而維持亞熱帶森林的群落結構和物種多樣性。余世孝教授團隊特聘研究員梁敏霞博士為論文的第一作者,劉徐兵教授為通訊作者。
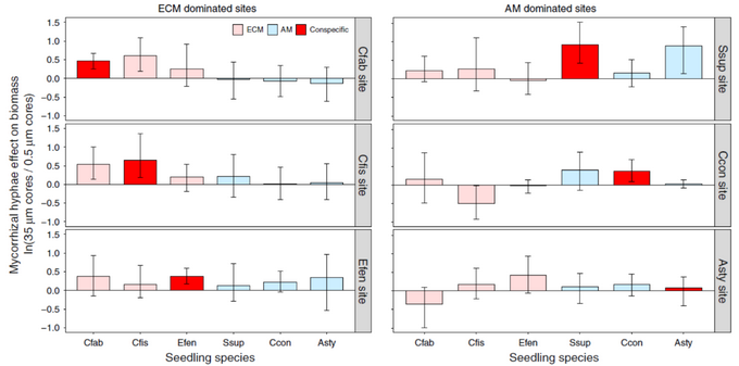
該研究依托我校“廣東黑石頂地帶與非地帶性森林生態系統教育部野外科學觀測研究站”,結合長達10年的森林固定監測樣地和幼苗樣方調查數據,并開展了大型幼苗移栽實驗,通過在野外自然條件下精確控制菌根菌絲網絡與幼苗的相互作用,揭示了森林林下土壤中菌根真菌組成的地下高速網絡 (the “wood-wide web”) 通過連接母樹和同種幼苗,進而實現母樹對幼苗生長存活和抗病性的顯著促進作用。同時,該研究通過比較外生菌根真菌ECM和叢枝菌根真菌AM所組成的地下菌根網絡作用的差異性,闡明了亞熱帶森林中不同類型菌根樹種相對多度和群落結構的成因。

黑石頂自然保護區特有的兩種外生菌根真菌

地下菌絲網絡對不同類型菌根植物幼苗生長的特異性影響
本研究首次明確揭示了鄰體母樹通過地下菌根網絡促進同種幼苗更新的關鍵作用,并闡明了不同類型菌根植物穩定共存和群落動態的形成機制。相關成果不僅完善了現有的生物多樣性形成和維持的理論體系,還為生物多樣性保護和亞熱帶森林的保育提供了重要的理論基礎。
本研究發現外生菌根真菌與寄主植物的互利共生關系顯著促進了幼苗的適合度,最終形成冠層優勢種。
上述研究得到了國家重點研發計劃項目(2017YFA0605100)、國家自然科學基金面上項目(31770466、31870403)和英國自然環境研究基金會(NE/M004848/1、NE/R004986/1)的資助。