澳门赌场招聘-赌场有哪些_免费百家乐追号软件_全讯网最新资讯网址 (中国)·官方网站

媒體中大

  • 【新快報】陳永正:不輟詩書 文脈流傳

    一個帶著春寒的傍晚,曾連任中國書協兩屆副主席和兩屆廣東省書協主席的陳永正在中山大學蒲園的家中接受了新快報記者的專訪。這是一個彌漫著書香、墨香的家,客廳整墻的書架里存放了不少中國古代漢語工具書。近來很少出現在公眾場合的陳永正身穿樸素的中式對襟布衣,氣定神閑,對近幾年的學術研究、寫書法心得娓娓道來。...

  • 【羊城晚報】春節如何吃好且健康?中山六院這份醫生提醒請你收好

    春節了,"吃"作為我們過節最重要的"娛樂"活動之一,大魚大肉、好酒好菜正在接下來的日子里迎接我們。說到吃,大家肯定要說:"我都是幾十年的吃貨了,難道我還能不懂?"然而,"懂吃"懂的或許只是美味,而不是健康。為了讓大家在春節期間吃得對、吃得健康,中山大學附屬第六醫院結直腸外科陳鈺鋒以幽默詼諧的脫口秀形式為...

  • 【廣州日報】急診"不打烊" 讓市民過個平安健康年

    農歷甲辰年伊始,大年初一的早上,記者走訪了廣州的多個院區急診,不少醫生坐鎮診室,現場看診秩序井然。"大年初一早上,我們科室看診151人。"來自中山大學附屬第六醫院生殖醫學中心李婷婷副主任醫師告訴記者,他們的生殖中心全年無休,即使是年初一的早上,大家的"造人"計劃也不會耽擱。李婷婷介紹,由于試管生殖技術需...

  • 【大公報】探索大灣區建設區域協調發展新模式

    作為原中央蘇區通過對接粵港澳大灣區實現振興發展,對接國家重大戰略、建設全國統一大市場具有重要示范意義。對此需要推動產業對接、開放對接、機制對接、政策對接、理論對接等方面。原中央蘇區地處江西、福建、廣東三省交界,由于地理因素等多種原因,原中央蘇區發展仍然滯后,民生問題仍然突出,基礎設施薄弱、產業結...

  • 【南方日報】派發小小利是封、制作腳印卡、播放新年祝福歌……中山三院 "最幸福的科室"里有著別樣年

    "吸氣,向上。"春節將至,在中山大學附屬第三醫院(下稱"中山三院")產房待產區,準媽媽阿霞在助產士的帶領下,正在進行瑜伽操練習。第一次做媽媽的她難免緊張,但有家人和醫生的陪護,阿霞的情緒放松了很多,期待著寶寶的到來。中山三院產科每天的分娩量為8—10人,護士長孫珂說:"產科是醫院里‘最幸福的科室’,因為...

  • 【新華社】中大團隊突破惰性烷烴轉化瓶頸

    記者2月6日從中山大學獲悉,該校化學學院胡鵬教授團隊在知名國際期刊《科學》上刊發成果,報告了一種光催化分子間自由基采樣方法,在惰性的C-H(碳-氫)鍵的化學轉化層面實現了“精確制導”。這種轉化方式條件簡單、環境友好,能夠大大縮短反應步驟,不僅可以生成附加值更高的精細化學品,還可以用于生物活性分子的快速...

  • 【羊城晚報】深圳一患者與“不死的癌癥”抗爭20多年,中山七院專家:強直性脊柱炎認知誤區有這些

    強直性脊柱炎是一種慢性炎癥性疾病,它的發病原因不明,卻導致患者長期遭受嚴重的疼痛折磨,以及導致較高的致殘率,又被稱為“不死的癌癥”。近日,中山大學附屬第七醫院(以下簡稱中山七院)的一名強直性脊柱炎患者發文稱,自己今年30多歲,卻有著20多年的強直性脊柱炎病史,從9歲發病到進入病癥的晚期,可以說遭遇了無...

  • 【中國社會科學報】書海講壇歲月長 章耀文化志有方——訪“中國MPA之父”夏書章教授

    在跨越一個多世紀的歲月里,夏書章教授不僅見證了中國近現代以來的時代變遷,而且在曲折與困苦中走上了學術報國之路。他秉承著“上醫醫國”的人生志向,在戰火紛飛的年代堅定選擇了行政學為研習方向,并遠赴大洋彼岸進修,成為第一個獲得MPA(公共管理 碩士)學位的中國人。抗日戰爭勝利后,他又毅然放棄進修機會,熱切...

  • 【南方日報】中大攜手湛江開展新時代文明實踐中心結對共建工作

    為持續實施文明實踐陣地優化行動,高質量推進新時代文明實踐中心建設,1月26日,中山大學馬克思主義學院與湛江市各縣(市、區)新時代文明實踐中心結對共建調研座談會在麻章區新時代文明實踐中心舉行。中山大學馬克思主義學院院長林進平,副院長、教授沈成飛,副院長、教授童建軍,湛江市委宣傳部副部長彭南生,湛江市教...

  • 【光明日報】中山大學參與的考古發掘項目入選“2023年中國考古新發現”

    1月30日,“2023年中國考古新發現”在京揭曉,四川省資陽市濛溪河舊石器時代遺址、福建省平潭縣殼丘頭新石器時代遺址群、湖北省荊門市屈家嶺新石器時代遺址、陜西省清澗縣寨溝商代遺址、新疆維吾爾自治區吐魯番市西旁唐宋時期景教寺院遺址、內蒙古自治區巴林左旗遼上京皇城南部建筑遺址等6個項目榜上有名。由中國社會科...

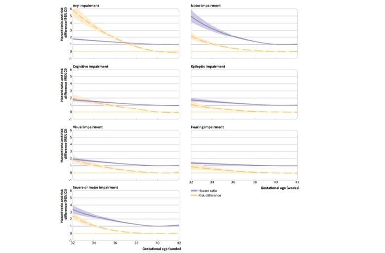
  • 【羊城晚報】中大學者最新研究提示:應關注中晚期早產兒神經發育風險

    1月25日,中山大學公共衛生學院(深圳)副教授陳若青作為通訊作者在國際著名醫學期刊《英國醫學雜志》(The British Medical Journal)發表論文。論文顯示,中晚期早產兒神經發育的長期健康風險不容忽視,家長應留心重視,醫療與公共衛生體系也應加強隨訪。陳若青介紹,目前,全世界每年約有1300萬早產兒出生,占新生兒...

  • 【中國青年報】把握視頻傳播優勢 打造新型高校思政陣地

    大學生在哪里,高校思政工作就要做到哪里。視頻傳播熱潮涌起之初,其碎片化、泛娛樂化、去中心化等特征儼然成為高校思政工作的嚴峻挑戰。如今,隨著各大高校主動擁抱新興媒介技術,視頻以明顯的傳播優勢、突出的敘事表現力成為當下思想引領的新陣地。從嚴峻挑戰到新型陣地,高校視頻陣地建設做對了什么?我認為有以下三...

新聞投稿
六合彩免费图库| 百家乐专用台布| 温州百家乐官网的玩法技巧和规则 | 网上百家乐信誉| 金沙百家乐官网现金网| 百家乐赌场大全| 百家乐官网5式直缆打法| 澳门百家乐官网玩法心得技巧| 百家乐规律打| 新东方百家乐官网的玩法技巧和规则 | 百家乐官网最佳注码法| 大发888娱乐场下载官方| 澳门百家乐官网如何算牌| 金彩百家乐的玩法技巧和规则| 闲和庄百家乐官网娱乐网| 网上百家乐真实吗| 百家乐官网tt娱乐城| 百家乐分析仪博彩正网| 百家乐官网最好打法与投注| 金木棉百家乐网络破解| 小孟百家乐官网的玩法技巧和规则 | 金花百家乐官网娱乐城| 利来国际娱乐网| 扑克百家乐麻将筹码防伪| 大桥下做生意风水好吗| 百家乐官网统计| 长兴县| 百家乐路单网下载| 澳门百家乐官网玩法与游戏规则 | 属狗人做生意店铺朝向| 沙洋县| 百家乐娱乐备用网址| 东莞百家乐官网的玩法技巧和规则 | 百家乐官网娱乐城赌场| 棋牌乐| 全讯网导航| 百家乐北京| 百家乐庄闲的分布| 伯爵百家乐官网的玩法技巧和规则| 百家乐官网最佳投注办法| 广平县|